(3)ネットワーク手法
…………………………………………………………………………………………
▲▼▲▼▲▼▲▼▲▼▲ 問題 ▲▼▲▼▲▼▲▼▲▼▲▼▲▼▲▼▲▼▲
…………………………………………………………………………………………
問1 基本的な表示等
………………
a, イベント(結合点)とは、作業と作業の結合点及び作業の開始、終了を
示すものとして○をつけ○の中に正整数を記入するのか? (h26)
………………
b, アクティビティ(作業)とは、任意のある作業のイベントから開始すべ
き時刻と完了すべき時刻の差のことであるのか? (h26)
………………
c, 最遅結合点時刻とは、工期から逆算して、任意のイベントで完了する作
業のすべてが、遅くとも完了していなければならない時刻をいうのか?
(h26)
………………
d, ダミーとは、所要時間を持たない(使用時間ゼロ)の擬似作業で、アク
ティビティ相互の関係を示すために使われ、破線に矢印(…→)で表示
されるのか? (h26)
………………
e, スラックが0のイベントでは、最早結合点時刻と最遅結合点時刻は等しく
ならないのか? (h22)
………………
f, イベント番号は、先行結合点より後続結合点が大きいことを満足してい
る場合、連続番号でも飛び番号でも可能であるのか? (h22)
………………
g, ダミーは、所要時間を持たない擬似作業で、並行する複数のアクティビ
ティの順序関係を明確にする役割があるのか? (h22)
………………
h, イベントは○で示し、○の中に0または正整数を書き込み、これをイベン
ト番号と呼び、同じ番号が二つ以上あってはならないのか? (h14,h12)
………………
i, アクティビティは、矢線によって進行を表し、矢線の頭が作業開始、尾
が作業完了を示すのか? (h14,h12)
………………
j, ダミーは、所要時間0の擬似作業で作業相互間の関係は破線の矢線で表し
、アクティビティとは異なるのか? (h14,h12)
………………
k, デュレーションは、作業に要する時間で矢線の下に書き、通常は日数で
表すのか? (h14)
………………
l, ダミーは、アクティビティと異なり、所要時間0の擬似作業で、作業相
互間の関係を示すものであるのか? (h13)
………………
m, 自由余裕時間(フリーフロート)は、先行するアクティビティが全て最
早開始時刻でスタートし、後続するアクティビティが全て最遅開始時刻
でスタートする場合に生ずる余裕時間であるのか? (h13)
………………
n, クリティカルパスは、全余裕時間(トータルフロート)が0のアクティ
ビティが形成する一連の経路であるのか? (h13)
………………
o, 余裕(スラック)は、最遅結合点時刻と最早結合点時刻の差であるの
か? (h13)
………………
p, トータルフロートは、先行するアクティビティがすべて最早開始時刻で
スタートし、後続するアクティビティがすべて最遅開始時刻でスタート
する場合に生じる全余裕時間をいうのか? (h12)
………………………………
問2 クリティカルパス等
………………
a, クリティカルイベントを通る経路は、すべてクリティカルパスであると
いうことはないのか? (h22)
………………
b, クリティカルパスでなくともフロートの非常に小さいものは、クリティ
カルパスとして重点管理する必要があるのか? (h16,h9,h8)
………………
c, クリティカルパス以外のアクティビティでも、フロートを消化してしま
うとクリティカルパスになるのか? (h16,h9)
………………
d, クリティカルパスは、開始点から終了点までのすべての経路の中で、最
も時間が短い経路であるのか? (h16,h9,h8)
………………
e, クリティカルパスは、トータルフロートがゼロのアクティビティの経路
であるのか? (h16)
………………………………
問3 ネットワークの計算
………………
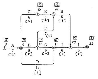
a,下図のネットワーク式工程表に関する次の記述のうち,適当なものはどれか。(h28)

………………
b, 下図のネットワーク式工程表で示される工事で,作業E に3日間の遅延が発生した場
合,次の記述のうち,適当なものはどれか。
ただし,図中のイベント間のA〜Jは作業内容,数字は当初の作業日数を表わす。 (h27)

………………
c, 下図のネットワーク式工程表に関する次の記述のうち、適当でないものはどれか。
ただし、図中のイベント間のA~Kは作業内容と作業日数を示す。 (h26)
(1) 作業開始から完了までの必要日数は、38日である。
(2) クリティカルパスは、0→1→3→4→7→8→9である。
(3) 作業H(4→7)の作業の最早開始日は、作業開始後18日である。
(4) 1→7の間で1→5→6→7の作業余裕日数は、8日である。
………………
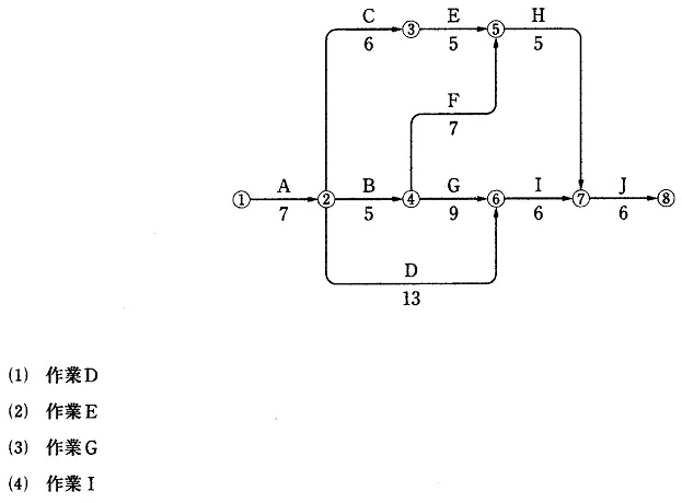
d, 下図のネットワークで示されている工事において作業A、Bはすべて予定どおり完了した
ので工事を開始して5日目の工事が終了した段階で実施中の作業の見直しを行った。
その結果、今後、必要な日数としてCは3日、Dは4日、Eは3日それぞれ必要であることが
わかった。
次のうち、適当なものはどれか。
ただし、図中のA~Iは、作業内容を、数字は当初の作業日数を表す。 (h25)

………………
e, 下図のネットワーク式工程表に関する次の記述のうち、正しいものはどれか。 (h24)

……………… f, 下図のネットワーク式工程表で示される工事において、全行程で3日間の短縮をはかる のに関係しない作業は次のうちどの作業か。ただし、短縮可能な作業の日数は、作業D で1日、Eで1日、Gで2日、Iで1日である。 なお、図中のイベント間のA~Jは作業内容、また数字は作業日数を表す。 (h23)
……………… g, 下図のネットワーク工程図において、Eの作業に5日の遅延が発生した場 合の次の記述のうち、適当なものはどれか。 ただし、図中のイベント間のA~Nは作業内容、また、数字は作業日数 を表す。 (h22)
(1)クリティカルパスは2本となる。 (2)Nの作業の最遅開始時刻は着手時刻から63日目となる。 (3)作業Kが5日遅延した場合も、全体工期に影響しない。 (4)結合点⑧において最遅結合点時刻と最早結合点時刻との差は3日である。 ……………… h, 下記のネットワークで示される工事において、10日目の作業が終わった段階 でフォローアップを行ったところ、作業A、Bはすべて完了しているが、今 後Cは6日、Dは3日、Eは4日それぞれ必要であることがわかった。次の記 述のうち、適当なものはどれか。 ただし、図中のイベント間のA~Gは作業内容、また、数字は作業日数を 表す。 (h21)
(1)工事は、予定より早く進んでおり、当初の工期より1日早く完了する。 (2)工事は、すべて順調に進んでおり、当初の工期内に完成することができる。 (3)工事は、当初の工期より1日遅れている。 (4)工事は、当初の工期より2日遅れている。 ……………… i,
………………
j,
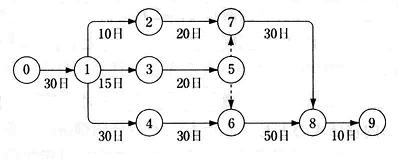
……………… k, 下記のネットワーク工程表のクリティカルパスのルートとして、 次のうち適当なものはどれか。(h18)
(1) 0→②→③→⑤→⑧→⑨
(2) 0→②→③→④→⑦→⑧→⑨
(3) 0→①→④→⑦→⑧→⑨
(4) 0→①→⑥→⑧→⑨
………………
l, 下図のネットワークに関する次の記述のうち適当なものはどれか。 (h11)

(1)最早結合点時刻は、イベント⑥や⑦のように2本きているイベントについ
ては、それらの最小値をとる。
(2)イベント⑥は、開始すべき時刻と完了すべき時刻に差がなく、このような
イベントをクリティカルイベントと呼んでいる。
(3)クリティカルパスの日数は、105日である。
(4)経路0→①→④→⑥→⑧→⑨は、経路0→①→③→⑤→⑦→⑧→⑨に
対して50日の余裕時間がある。
…………………………………………………………………………………………
▲▼▲▼▲▼▲▼▲▼▲ 解答 ▲▼▲▼▲▼▲▼▲▼▲▼▲▼▲▼▲▼▲
…………………………………………………………………………………………
問1
………………
a, ○
………………
b, × 任意のある作業のイベントから開始すべき時刻と完了すべき時刻の
差は、所要時間(デュレーション)である。
………………
c, ○
………………
d, ○
………………
e, × 等しい。
………………
f, ○
………………
g, ○
………………
h, ○
………………
i, アクティビティは、矢線によって進行を表し、矢線の尾が作業開始、頭
が作業完了を示す。
………………
j, ○
………………
k, ○
………………
l, ○
………………
m × 自由余裕時間(フリーフロート)は、先行するアクティビティが全
て最早開始時刻でスタートし、後続するアクティビティも全て最早
開始時刻でスタートする場合に生じる余裕時間である。また、先行
するアクティビティが全て最早開始時刻でスタートし、後続するア
クティビティが全て最遅開始時刻でスタートする場合に生じる余裕
時間は全余裕時間(トータルフロート)である。
………………
n, ○
………………
o, ○
………………
p, ○
………………………………
問2
………………
a, ○
………………
b, ○
………………
c, ○
………………
d, クリティカルパスは、開始点から終了点までのすべての経路の中で、最
も時間が長い経路である。
………………
e, ○
………………
………………………………
問3
………………
a, (3)
日程計算を行うと、下図のようになる。

(1)クリティカルパスは、TFが0の経路で、0→①→②→③→⑤→⑨である。
(2)作業Kの最早開始日は、23日である。
(4)工期は、29日である。
………………
b, (2)
日程計算を行うと、下図のようになる。
作業Eの総余裕日数(TF)は1日あるので、3日間の遅延は、当初の工期より2日間遅れることになる。

………………
c, (3)
日程計算を行うと下図のようになる。
作業H(4→7)の作業の最早開始日は、作業開始後20日である。
………………
d, (1)
当初の作業日数で日程計算を行うと下図のようになり、所要日数は19日である。

工事を開始して5日目は、当初の作業Cは残りが2日であるが、3日必要ということは作業日数は4日となる。
同様に作業Dは7日、作業Eは6日となるので、これらの日数で日程計算を行うと下図のようになる。

所要日数は20日となり、当初の工期より1日遅れる。
………………
e, (1) 日程計算を行うと下図のようになる。
①→ ⑥→ ⑦→ ⑧のフリーフロートの合計は3日である。

………………
f, (2) 日程計算を行うと下図のようになり、トータルフロートが4日ある作業Eは関係しない作業である。

………………
g, (3)
Eの作業を3+5=8日に置き換えて日程計算を行うと下図のようになる。

………………
h, (4)
工期に関する問題なので、各ルートの所要日数だけを計算すればよい。
・当初における各経路の所要日数
0⇒1⇒4⇒5 ………… 6+8+8=22
0⇒2⇒4⇒5 ………… 6+5+8=19
0⇒2⇒3⇒4⇒5 …… 6+6+8=20
0⇒2⇒3⇒5 ………… 6+6+5=17
工期は22日である。
・10日目における各経路の所要日数
0⇒1⇒4⇒5 ………… 10+6+8=24
0⇒2⇒4⇒5 ………… 10+3+8=21
0⇒2⇒3⇒4⇒5 …… 10+4+8=22
0⇒2⇒3⇒5 ………… 10+4+5=19
工期は24日である。
………………
i, (2)
各ルートの所要日数を計算する。
0→①→④→⑤は、 3+6+4=13
0→②→④→⑤は、 5+3+4=12
0→②→③→④→⑤は、5+6+4=15
0→②→③→⑤は、 5+6+5=16
したがって、この工期は16日である。
8日目の作業が終わった段階でのフォローアップは次のようになる。
0→①→④→⑤は、 8+5+4=17
0→②→④→⑤は、 8+2+4=14
0→②→③→④→⑤は、8+3+4=15
0→②→③→⑤は、 8+3+5=16
8日目の作業が終わった段階では、工期は17日となってしまう。
したがって、当初の工期より1日遅れている。
………………
j, (3)
日程計算を行うと下図のようになり、⑦→⑧作業の最早開始日は、工事開始後65日である。

………………
k, (2)
(1)は、2+3+2+2+3=12
(2)は、2+3+0+3+2+3=13
(3)は、3+1+3+2+3=12
(4)は、3+5+1+3=12
………………
l, (2)
(1)最早結合点時刻は、イベント⑥や⑦のように2本きているイベントに
ついては、それらの最大値をとる。
(3)各イベントの最早結合点時刻を計算すると次のようになる。

⑨の最早結合点時刻の150日がクリティカルパスの日数である。
(4)経路0→①→④→⑥→⑧→⑨ =30+30+30+50+10=150日
経路0→①→③→⑤→⑦→⑧→⑨=30+15+20+30+10=105日
したがって、余裕時間は150-105=45日である。
Copyright (C) 2017 Hidenori Nakamura. All Right Reserved
■■■■■■■■■■■■■■■■■■■■■■■■■■■■■■■■■■
HOME